Elena Callus

quantum physicist | Jena, Germany

prof_pic_color.png

Institute of Condensed Matter Theory & Optics

Fröbelstieg 1

07743 Jena, Germany

welcome! my name is Elena Callus and i am currently a postdoctoral researcher in the Gärttner group at Friedrich Schiller University in Jena, Germany.

my main research interests are quantum information theory, continuous-variable quantum computing and quantum resource theories. i have previously worked on applications of light–matter interaction in entanglement-generation and quantum error correction. currently, i am working on characterisation of entanglement in continuous-variable systems by means of phase-space distributions.

selected publications

  1. coloured_matrix.jpg
    Revealing entanglement through local features of phase-space distributions
    Elena Callus, Martin Gärttner, and Tobias Haas
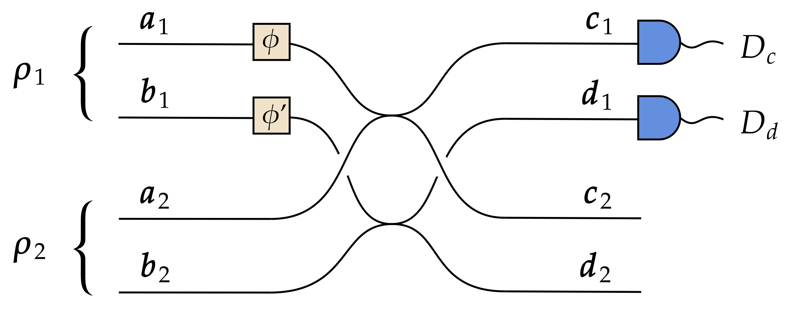
  2. interferometeric_entanglement_setup.jpg
    Interferometric detection of continuous-variable entanglement using two states
    Elena Callus, Martin Gärttner, and Tobias Haas
  3. spin_augmented.jpg
    Spin-augmented observables for efficient photonic quantum error correction
    Elena Callus and Pieter Kok
  4. maximal_entanglement.jpg
    Cumulative generation of maximal entanglement between spectrally distinct qubits using squeezed light
    Elena Callus and Pieter Kok